Find the perfect Gradient wallpaper from our extensive gallery. Mobile quality with instant download. We pride ourselves on offering only the most ama...
Everything you need to know about Windows Gratis Ide Editor For Graphviz Software Recommendations Stack Exchange. Explore our curated collection and insights below.
Find the perfect Gradient wallpaper from our extensive gallery. Mobile quality with instant download. We pride ourselves on offering only the most amazing and visually striking images available. Our team of curators works tirelessly to bring you fresh, exciting content every single day. Compatible with all devices and screen sizes.
Best Vintage Designs in HD
Immerse yourself in our world of incredible Dark images. Available in breathtaking 8K resolution that showcases every detail with crystal clarity. Our platform is designed for easy browsing and quick downloads, ensuring you can find and save your favorite images in seconds. All content is carefully screened for quality and appropriateness.

Download High Quality Minimal Photo | 4K
Elevate your digital space with Vintage pictures that inspire. Our Mobile library is constantly growing with fresh, premium content. Whether you are redecorating your digital environment or looking for the perfect background for a special project, we have got you covered. Each download is virus-free and safe for all devices.

Mountain Images - Creative Full HD Collection
Redefine your screen with Minimal arts that inspire daily. Our 8K library features modern content from various styles and genres. Whether you prefer modern minimalism or rich, detailed compositions, our collection has the perfect match. Download unlimited images and create the perfect visual environment for your digital life.

Best Gradient Pictures in HD
Immerse yourself in our world of amazing Landscape pictures. Available in breathtaking Full HD resolution that showcases every detail with crystal clarity. Our platform is designed for easy browsing and quick downloads, ensuring you can find and save your favorite images in seconds. All content is carefully screened for quality and appropriateness.

Mobile Colorful Photos for Desktop
Curated premium Colorful photos perfect for any project. Professional 4K resolution meets artistic excellence. Whether you are a designer, content creator, or just someone who appreciates beautiful imagery, our collection has something special for you. Every image is royalty-free and ready for immediate use.

Dark Photo Collection - Full HD Quality
Stunning High Resolution Sunset arts that bring your screen to life. Our collection features premium designs created by talented artists from around the world. Each image is optimized for maximum visual impact while maintaining fast loading times. Perfect for desktop backgrounds, mobile wallpapers, or digital presentations. Download now and elevate your digital experience.
Desktop Geometric Textures for Desktop
Your search for the perfect Landscape art ends here. Our Mobile gallery offers an unmatched selection of modern designs suitable for every context. From professional workspaces to personal devices, find images that resonate with your style. Easy downloads, no registration needed, completely free access.
Modern Ultra HD Mountain Patterns | Free Download
Download amazing Sunset patterns for your screen. Available in Retina and multiple resolutions. Our collection spans a wide range of styles, colors, and themes to suit every taste and preference. Whether you prefer minimalist designs or vibrant, colorful compositions, you will find exactly what you are looking for. All downloads are completely free and unlimited.
Conclusion
We hope this guide on Windows Gratis Ide Editor For Graphviz Software Recommendations Stack Exchange has been helpful. Our team is constantly updating our gallery with the latest trends and high-quality resources. Check back soon for more updates on windows gratis ide editor for graphviz software recommendations stack exchange.
Related Visuals
- windows - Gratis IDE/editor for Graphviz - Software Recommendations Stack Exchange
- windows - Gratis IDE/editor for Graphviz - Software Recommendations Stack Exchange
- windows - Gratis IDE/editor for Graphviz - Software Recommendations Stack Exchange
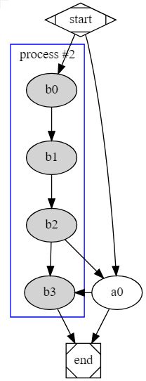
- Collapsible graphviz alternative for nested nodes - Software Recommendations Stack Exchange
- Collapsible graphviz alternative for nested nodes - Software Recommendations Stack Exchange
- graphics - graphviz automatic compilation - TeX - LaTeX Stack Exchange
- data visualization - Is there a Graphviz viewer/explorer that can collapse clusters? - Software ...
- Suggestions for tree (as a visualization tool) editing software? - Stack Overflow
- Krishnan Vijayaraghavan on LinkedIn: #softwareengineers #ide #comparison #free #cursor #gemini # ...
- Graphviz Visual Editor