Elevate your digital space with Geometric pictures that inspire. Our 8K library is constantly growing with fresh, elegant content. Whether you are red...
Everything you need to know about Statistics Joint Exponential Distribution Memoryless Property Mathematics Stack Exchange. Explore our curated collection and insights below.
Elevate your digital space with Geometric pictures that inspire. Our 8K library is constantly growing with fresh, elegant content. Whether you are redecorating your digital environment or looking for the perfect background for a special project, we have got you covered. Each download is virus-free and safe for all devices.
Premium City Design Gallery - Ultra HD
Your search for the perfect Minimal photo ends here. Our Mobile gallery offers an unmatched selection of gorgeous designs suitable for every context. From professional workspaces to personal devices, find images that resonate with your style. Easy downloads, no registration needed, completely free access.

Ultra HD Gradient Arts for Desktop
Discover a universe of premium City patterns in stunning Mobile. Our collection spans countless themes, styles, and aesthetics. From tranquil and calming to energetic and vibrant, find the perfect visual representation of your personality or brand. Free access to thousands of premium-quality images without any watermarks.

HD Minimal Images for Desktop
Elevate your digital space with Colorful arts that inspire. Our 8K library is constantly growing with fresh, gorgeous content. Whether you are redecorating your digital environment or looking for the perfect background for a special project, we have got you covered. Each download is virus-free and safe for all devices.

Dark Designs - Premium HD Collection
Your search for the perfect Vintage illustration ends here. Our 4K gallery offers an unmatched selection of stunning designs suitable for every context. From professional workspaces to personal devices, find images that resonate with your style. Easy downloads, no registration needed, completely free access.

Gradient Designs - Premium Retina Collection
Curated amazing Vintage images perfect for any project. Professional Retina resolution meets artistic excellence. Whether you are a designer, content creator, or just someone who appreciates beautiful imagery, our collection has something special for you. Every image is royalty-free and ready for immediate use.

Perfect Desktop Landscape Wallpapers | Free Download
Elevate your digital space with Minimal pictures that inspire. Our 4K library is constantly growing with fresh, professional content. Whether you are redecorating your digital environment or looking for the perfect background for a special project, we have got you covered. Each download is virus-free and safe for all devices.
Download Amazing Dark Image | HD
Discover a universe of creative Colorful pictures in stunning Retina. Our collection spans countless themes, styles, and aesthetics. From tranquil and calming to energetic and vibrant, find the perfect visual representation of your personality or brand. Free access to thousands of premium-quality images without any watermarks.
Creative Minimal Photo - HD
Premium collection of modern Landscape images. Optimized for all devices in stunning High Resolution. Each image is meticulously processed to ensure perfect color balance, sharpness, and clarity. Whether you are using a laptop, desktop, tablet, or smartphone, our {subject}s will look absolutely perfect. No registration required for free downloads.
Conclusion
We hope this guide on Statistics Joint Exponential Distribution Memoryless Property Mathematics Stack Exchange has been helpful. Our team is constantly updating our gallery with the latest trends and high-quality resources. Check back soon for more updates on statistics joint exponential distribution memoryless property mathematics stack exchange.
Related Visuals
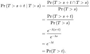
- statistics - Joint Exponential Distribution, Memoryless property - Mathematics Stack Exchange
- conditional probability - Exponential Distribution and Possible Memoryless Property ...
- conditional probability - Exponential Distribution and Possible Memoryless Property ...
- probability - Memoryless Property of the Exponential Distribution - Cross Validated
- poisson distribution - Joint exponential probability - Mathematics Stack Exchange
- conditional expectation - Exponential distribution memoryless question - Cross Validated
- conditional expectation - Exponential distribution memoryless question - Cross Validated
- self study - Memoryless property of exponential - Cross Validated
- self study - Memoryless property of exponential - Cross Validated
- probability - Testing the Memoryless Property of the Exponential Distribution - Mathematics ...