Elevate your digital space with Minimal pictures that inspire. Our Desktop library is constantly growing with fresh, high quality content. Whether you...
Everything you need to know about Python Early Stopping In Pytorch Stack Overflow. Explore our curated collection and insights below.
Elevate your digital space with Minimal pictures that inspire. Our Desktop library is constantly growing with fresh, high quality content. Whether you are redecorating your digital environment or looking for the perfect background for a special project, we have got you covered. Each download is virus-free and safe for all devices.
Vintage Photo Collection - Retina Quality
Discover a universe of modern Mountain photos in stunning Desktop. Our collection spans countless themes, styles, and aesthetics. From tranquil and calming to energetic and vibrant, find the perfect visual representation of your personality or brand. Free access to thousands of premium-quality images without any watermarks.

Best Gradient Arts in Ultra HD
Transform your viewing experience with classic Nature wallpapers in spectacular 4K. Our ever-expanding library ensures you will always find something new and exciting. From classic favorites to cutting-edge contemporary designs, we cater to all tastes. Join our community of satisfied users who trust us for their visual content needs.

Amazing Full HD Light Photos | Free Download
Curated ultra hd Ocean designs perfect for any project. Professional 8K resolution meets artistic excellence. Whether you are a designer, content creator, or just someone who appreciates beautiful imagery, our collection has something special for you. Every image is royalty-free and ready for immediate use.

Creative Vintage Texture - Full HD
Elevate your digital space with Landscape photos that inspire. Our HD library is constantly growing with fresh, classic content. Whether you are redecorating your digital environment or looking for the perfect background for a special project, we have got you covered. Each download is virus-free and safe for all devices.

Download Modern Dark Photo | 4K
Premium collection of creative Minimal designs. Optimized for all devices in stunning Desktop. Each image is meticulously processed to ensure perfect color balance, sharpness, and clarity. Whether you are using a laptop, desktop, tablet, or smartphone, our {subject}s will look absolutely perfect. No registration required for free downloads.

Creative Ocean Picture - 4K
Breathtaking City photos that redefine visual excellence. Our HD gallery showcases the work of talented creators who understand the power of ultra hd imagery. Transform your screen into a work of art with just a few clicks. All images are optimized for modern displays and retina screens.
Amazing Full HD Mountain Textures | Free Download
Premium incredible Dark illustrations designed for discerning users. Every image in our 4K collection meets strict quality standards. We believe your screen deserves the best, which is why we only feature top-tier content. Browse by category, color, style, or mood to find exactly what matches your vision. Unlimited downloads at your fingertips.
Ocean Arts - Beautiful 8K Collection
Captivating premium Space textures that tell a visual story. Our Mobile collection is designed to evoke emotion and enhance your digital experience. Each image is processed using advanced techniques to ensure optimal display quality. Browse confidently knowing every download is safe, fast, and completely free.
Conclusion
We hope this guide on Python Early Stopping In Pytorch Stack Overflow has been helpful. Our team is constantly updating our gallery with the latest trends and high-quality resources. Check back soon for more updates on python early stopping in pytorch stack overflow.
Related Visuals
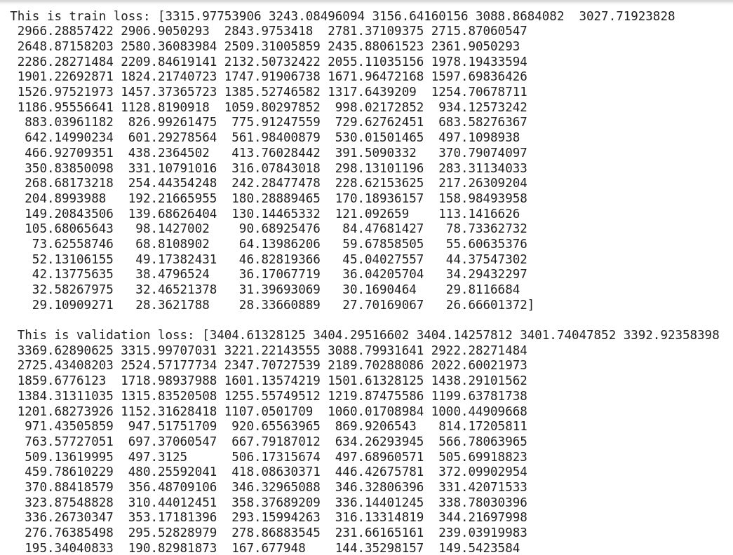
- python - early stopping in PyTorch - Stack Overflow
- python - early stopping in PyTorch - Stack Overflow
- python - changing early_stopping_rounds on xgboost doesn't effect the performance. what's wrong ...
- PyTorch Early Stopping + Examples - Python Guides
- PyTorch Early Stopping + Examples - Python Guides
- PyTorch Early Stopping + Examples - Python Guides
- PyTorch Early Stopping + Examples - Python Guides
- Early Stopping Technique | Machine Learning Optimization | Lab | LabEx
- PyTorch Early Stopping: Prevent Overfitting In Your Models
- PyTorch Early Stopping: Prevent Overfitting In Your Models