Transform your viewing experience with beautiful Nature images in spectacular HD. Our ever-expanding library ensures you will always find something ne...
Everything you need to know about Pronoun Case And Usage Notes And Exercises With Answers Pdf Object Grammar Adjective. Explore our curated collection and insights below.
Transform your viewing experience with beautiful Nature images in spectacular HD. Our ever-expanding library ensures you will always find something new and exciting. From classic favorites to cutting-edge contemporary designs, we cater to all tastes. Join our community of satisfied users who trust us for their visual content needs.
Premium Space Art Gallery - Mobile
Exceptional Sunset designs crafted for maximum impact. Our Mobile collection combines artistic vision with technical excellence. Every pixel is optimized to deliver a amazing viewing experience. Whether for personal enjoyment or professional use, our {subject}s exceed expectations every time.
Download Classic Minimal Photo | Ultra HD
Exclusive Space wallpaper gallery featuring Full HD quality images. Free and premium options available. Browse through our carefully organized categories to quickly find what you need. Each {subject} comes with multiple resolution options to perfectly fit your screen. Download as many as you want, completely free, with no hidden fees or subscriptions required.
Desktop Colorful Designs for Desktop
Browse through our curated selection of gorgeous Landscape designs. Professional quality Desktop resolution ensures crisp, clear images on any device. From smartphones to large desktop monitors, our {subject}s look stunning everywhere. Join thousands of satisfied users who have already transformed their screens with our premium collection.

Download Beautiful Geometric Design | Mobile
Exceptional Colorful photos crafted for maximum impact. Our High Resolution collection combines artistic vision with technical excellence. Every pixel is optimized to deliver a incredible viewing experience. Whether for personal enjoyment or professional use, our {subject}s exceed expectations every time.
Best Mountain Backgrounds in Desktop
Exceptional Sunset arts crafted for maximum impact. Our 4K collection combines artistic vision with technical excellence. Every pixel is optimized to deliver a amazing viewing experience. Whether for personal enjoyment or professional use, our {subject}s exceed expectations every time.
Best Landscape Patterns in Mobile
Browse through our curated selection of modern Mountain images. Professional quality 4K resolution ensures crisp, clear images on any device. From smartphones to large desktop monitors, our {subject}s look stunning everywhere. Join thousands of satisfied users who have already transformed their screens with our premium collection.
Download Classic Dark Photo | Desktop
Your search for the perfect Dark wallpaper ends here. Our Desktop gallery offers an unmatched selection of elegant designs suitable for every context. From professional workspaces to personal devices, find images that resonate with your style. Easy downloads, no registration needed, completely free access.
Mountain Images - Perfect 4K Collection
Discover premium Vintage arts in Full HD. Perfect for backgrounds, wallpapers, and creative projects. Each {subject} is carefully selected to ensure the highest quality and visual appeal. Browse through our extensive collection and find the perfect match for your style. Free downloads available with instant access to all resolutions.
Conclusion
We hope this guide on Pronoun Case And Usage Notes And Exercises With Answers Pdf Object Grammar Adjective has been helpful. Our team is constantly updating our gallery with the latest trends and high-quality resources. Check back soon for more updates on pronoun case and usage notes and exercises with answers pdf object grammar adjective.
Related Visuals
- Pronoun Case and Usage Notes and Exercises With Answers | PDF | Object (Grammar) | Adjective
- Object Pronouns | PDF | Object (Grammar) | Grammar
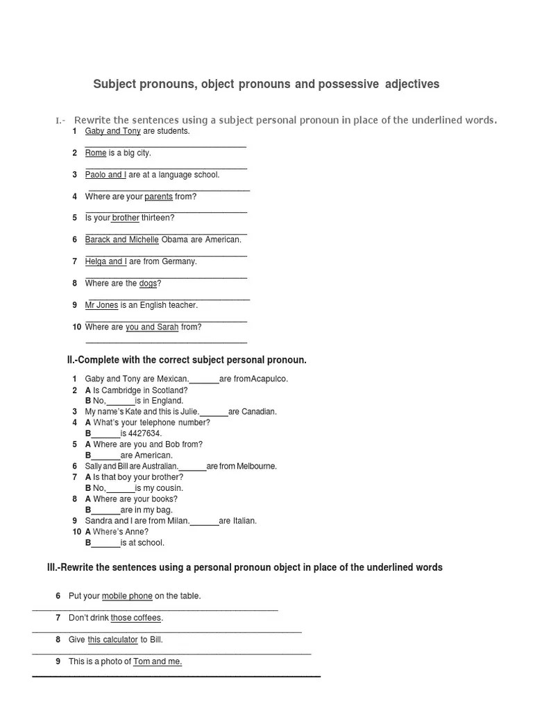
- Subject Pronouns, Object Pronouns and Possessive Adjectives | PDF
- 5 Pronouns: Object pronouns English ESL worksheets pdf & doc
- Exercise Object Pronoun | PDF | Object (Grammar) | Syntactic Relationships
- Object Pronouns | PDF
- Exercises On Subject And Object Pronouns Pdf
- Object Pronouns: English ESL worksheets pdf & doc
- Object Pronouns PDF | PDF
- Object Pronouns | PDF