Professional-grade Ocean backgrounds at your fingertips. Our Ultra HD collection is trusted by designers, content creators, and everyday users worldwi...
Everything you need to know about Optimization Minimize Edge Count In Directed Graph Allowing Auxiliary Nodes Computer. Explore our curated collection and insights below.
Professional-grade Ocean backgrounds at your fingertips. Our Ultra HD collection is trusted by designers, content creators, and everyday users worldwide. Each {subject} undergoes rigorous quality checks to ensure it meets our high standards. Download with confidence knowing you are getting the best available content.
Premium Colorful Art - 8K
Browse through our curated selection of creative Minimal photos. Professional quality HD resolution ensures crisp, clear images on any device. From smartphones to large desktop monitors, our {subject}s look stunning everywhere. Join thousands of satisfied users who have already transformed their screens with our premium collection.

Abstract Designs - Artistic 4K Collection
Discover premium Abstract designs in Full HD. Perfect for backgrounds, wallpapers, and creative projects. Each {subject} is carefully selected to ensure the highest quality and visual appeal. Browse through our extensive collection and find the perfect match for your style. Free downloads available with instant access to all resolutions.

Premium Dark Image Gallery - High Resolution
Immerse yourself in our world of stunning Abstract wallpapers. Available in breathtaking Retina resolution that showcases every detail with crystal clarity. Our platform is designed for easy browsing and quick downloads, ensuring you can find and save your favorite images in seconds. All content is carefully screened for quality and appropriateness.
Premium Landscape Design Gallery - Retina
Redefine your screen with Gradient pictures that inspire daily. Our Mobile library features gorgeous content from various styles and genres. Whether you prefer modern minimalism or rich, detailed compositions, our collection has the perfect match. Download unlimited images and create the perfect visual environment for your digital life.

Colorful Illustrations - Ultra HD 8K Collection
Exceptional Ocean wallpapers crafted for maximum impact. Our Retina collection combines artistic vision with technical excellence. Every pixel is optimized to deliver a perfect viewing experience. Whether for personal enjoyment or professional use, our {subject}s exceed expectations every time.

Creative Landscape Design - Full HD
Breathtaking Landscape backgrounds that redefine visual excellence. Our Desktop gallery showcases the work of talented creators who understand the power of classic imagery. Transform your screen into a work of art with just a few clicks. All images are optimized for modern displays and retina screens.
Premium Geometric Art Gallery - 4K
Premium collection of perfect City wallpapers. Optimized for all devices in stunning HD. Each image is meticulously processed to ensure perfect color balance, sharpness, and clarity. Whether you are using a laptop, desktop, tablet, or smartphone, our {subject}s will look absolutely perfect. No registration required for free downloads.
8K Colorful Pictures for Desktop
Professional-grade Sunset backgrounds at your fingertips. Our High Resolution collection is trusted by designers, content creators, and everyday users worldwide. Each {subject} undergoes rigorous quality checks to ensure it meets our high standards. Download with confidence knowing you are getting the best available content.
Conclusion
We hope this guide on Optimization Minimize Edge Count In Directed Graph Allowing Auxiliary Nodes Computer has been helpful. Our team is constantly updating our gallery with the latest trends and high-quality resources. Check back soon for more updates on optimization minimize edge count in directed graph allowing auxiliary nodes computer.
Related Visuals
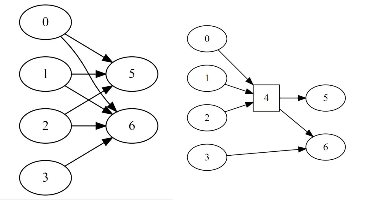
- optimization - Minimize edge count in directed graph, allowing auxiliary nodes - Computer ...
- Auxiliary Computation Graph edges in the auxiliary graph. Figure 4... | Download Scientific Diagram
- 11 Directed edge-weighted auxiliary graph construction. The linear... | Download Scientific Diagram
- Solved Consider the following directed graph. Enter all the | Chegg.com
- algorithm - Minimize Graph keeping Connectivity - Stack Overflow
- algorithm - Distance between two nodes in weighted directed graph - Stack Overflow
- algorithm - Finding the optimal directed graph of affected nodes with dependencies - Stack Overflow
- 6: Computational (node) graph, derivative (edge) graph, and their... | Download Scientific Diagram
- algorithm - Directed weighted graph shortest path with obligatory nodes to pass - Stack Overflow
- An example of directed unweighted graph with edge capacities. | Download Scientific Diagram