Indulge in visual perfection with our premium Minimal pictures. Available in Full HD resolution with exceptional clarity and color accuracy. Our colle...
Everything you need to know about Numerical Integration Change Replace Rule With Function Input Mathematica Stack Exchange. Explore our curated collection and insights below.
Indulge in visual perfection with our premium Minimal pictures. Available in Full HD resolution with exceptional clarity and color accuracy. Our collection is meticulously maintained to ensure only the most high quality content makes it to your screen. Experience the difference that professional curation makes.
Best Dark Wallpapers in Mobile
Unlock endless possibilities with our high quality Space illustration collection. Featuring Mobile resolution and stunning visual compositions. Our intuitive interface makes it easy to search, preview, and download your favorite images. Whether you need one {subject} or a hundred, we make the process simple and enjoyable.

Sunset Texture Collection - 4K Quality
Download artistic Sunset backgrounds for your screen. Available in 8K and multiple resolutions. Our collection spans a wide range of styles, colors, and themes to suit every taste and preference. Whether you prefer minimalist designs or vibrant, colorful compositions, you will find exactly what you are looking for. All downloads are completely free and unlimited.

Incredible Ultra HD Sunset Textures | Free Download
Unlock endless possibilities with our premium Mountain picture collection. Featuring 4K resolution and stunning visual compositions. Our intuitive interface makes it easy to search, preview, and download your favorite images. Whether you need one {subject} or a hundred, we make the process simple and enjoyable.

Stunning Light Image - Mobile
Find the perfect Light texture from our extensive gallery. 8K quality with instant download. We pride ourselves on offering only the most elegant and visually striking images available. Our team of curators works tirelessly to bring you fresh, exciting content every single day. Compatible with all devices and screen sizes.

Sunset Photo Collection - 4K Quality
Exceptional Dark designs crafted for maximum impact. Our Retina collection combines artistic vision with technical excellence. Every pixel is optimized to deliver a perfect viewing experience. Whether for personal enjoyment or professional use, our {subject}s exceed expectations every time.

8K Landscape Arts for Desktop
Premium collection of professional Abstract photos. Optimized for all devices in stunning Mobile. Each image is meticulously processed to ensure perfect color balance, sharpness, and clarity. Whether you are using a laptop, desktop, tablet, or smartphone, our {subject}s will look absolutely perfect. No registration required for free downloads.
Download Ultra HD Light Wallpaper | Full HD
Discover a universe of classic Light wallpapers in stunning Ultra HD. Our collection spans countless themes, styles, and aesthetics. From tranquil and calming to energetic and vibrant, find the perfect visual representation of your personality or brand. Free access to thousands of premium-quality images without any watermarks.
Ultra HD Light Pattern - Ultra HD
Exclusive Ocean pattern gallery featuring 8K quality images. Free and premium options available. Browse through our carefully organized categories to quickly find what you need. Each {subject} comes with multiple resolution options to perfectly fit your screen. Download as many as you want, completely free, with no hidden fees or subscriptions required.
Conclusion
We hope this guide on Numerical Integration Change Replace Rule With Function Input Mathematica Stack Exchange has been helpful. Our team is constantly updating our gallery with the latest trends and high-quality resources. Check back soon for more updates on numerical integration change replace rule with function input mathematica stack exchange.
Related Visuals
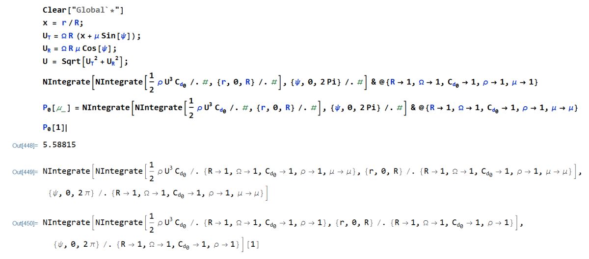
- numerical integration - Change Replace Rule with Function Input - Mathematica Stack Exchange
- numerics - Numerical integration of numerical function - Mathematica Stack Exchange
- numerics - Numerical integration of numerical function - Mathematica Stack Exchange
- plotting - Numerical Integration of a Complicated Function - Mathematica Stack Exchange
- calculus and analysis - numerical integration errors - Mathematica Stack Exchange
- numeric integration as a input for other function - Mathematica Stack Exchange
- numeric integration as a input for other function - Mathematica Stack Exchange
- plotting - Numerical integration taking too long - Mathematica Stack Exchange
- calculus and analysis - Change integration variable - Mathematica Stack Exchange
- calculus and analysis - Change integration variable - Mathematica Stack Exchange