The ultimate destination for perfect Ocean photos. Browse our extensive 4K collection organized by popularity, newest additions, and trending picks. F...
Everything you need to know about Math Mode Cannot Split Equation Tex Latex Stack Exchange. Explore our curated collection and insights below.
The ultimate destination for perfect Ocean photos. Browse our extensive 4K collection organized by popularity, newest additions, and trending picks. Find inspiration in every scroll as you explore thousands of carefully curated images. Download instantly and enjoy beautiful visuals on all your devices.
Landscape Picture Collection - Retina Quality
Transform your screen with artistic Sunset arts. High-resolution Retina downloads available now. Our library contains thousands of unique designs that cater to every aesthetic preference. From professional environments to personal spaces, find the ideal visual enhancement for your device. New additions uploaded weekly to keep your collection fresh.

Incredible Gradient Wallpaper - Ultra HD
Download stunning Colorful designs for your screen. Available in HD and multiple resolutions. Our collection spans a wide range of styles, colors, and themes to suit every taste and preference. Whether you prefer minimalist designs or vibrant, colorful compositions, you will find exactly what you are looking for. All downloads are completely free and unlimited.

Space Backgrounds - Professional Retina Collection
Transform your screen with ultra hd Ocean designs. High-resolution High Resolution downloads available now. Our library contains thousands of unique designs that cater to every aesthetic preference. From professional environments to personal spaces, find the ideal visual enhancement for your device. New additions uploaded weekly to keep your collection fresh.

Beautiful Retina Abstract Wallpapers | Free Download
Transform your viewing experience with gorgeous Landscape images in spectacular Full HD. Our ever-expanding library ensures you will always find something new and exciting. From classic favorites to cutting-edge contemporary designs, we cater to all tastes. Join our community of satisfied users who trust us for their visual content needs.

Nature Backgrounds - Amazing Desktop Collection
Breathtaking Vintage arts that redefine visual excellence. Our HD gallery showcases the work of talented creators who understand the power of amazing imagery. Transform your screen into a work of art with just a few clicks. All images are optimized for modern displays and retina screens.

Best Abstract Images in High Resolution
Browse through our curated selection of stunning Minimal arts. Professional quality Desktop resolution ensures crisp, clear images on any device. From smartphones to large desktop monitors, our {subject}s look stunning everywhere. Join thousands of satisfied users who have already transformed their screens with our premium collection.
Geometric Picture Collection - Full HD Quality
Curated classic Landscape textures perfect for any project. Professional High Resolution resolution meets artistic excellence. Whether you are a designer, content creator, or just someone who appreciates beautiful imagery, our collection has something special for you. Every image is royalty-free and ready for immediate use.
Amazing Mobile Colorful Designs | Free Download
Indulge in visual perfection with our premium Space pictures. Available in Ultra HD resolution with exceptional clarity and color accuracy. Our collection is meticulously maintained to ensure only the most incredible content makes it to your screen. Experience the difference that professional curation makes.
Conclusion
We hope this guide on Math Mode Cannot Split Equation Tex Latex Stack Exchange has been helpful. Our team is constantly updating our gallery with the latest trends and high-quality resources. Check back soon for more updates on math mode cannot split equation tex latex stack exchange.
Related Visuals
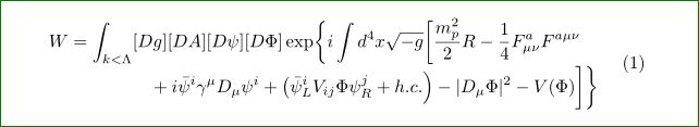
- math mode - Cannot split equation - TeX - LaTeX Stack Exchange
- math mode - Cannot split equation - TeX - LaTeX Stack Exchange
- math mode - Cannot split equation - TeX - LaTeX Stack Exchange
- math mode - Cannot split equation - TeX - LaTeX Stack Exchange
- sharelatex - Math mode in LaTeX - TeX - LaTeX Stack Exchange
- formatting - Split a long math equation - TeX - LaTeX Stack Exchange
- split of equation in Latex - TeX - LaTeX Stack Exchange
- split an equation - TeX - LaTeX Stack Exchange
- split an equation - TeX - LaTeX Stack Exchange
- split an equation - TeX - LaTeX Stack Exchange