Immerse yourself in our world of professional Space photos. Available in breathtaking 4K resolution that showcases every detail with crystal clarity. ...
Everything you need to know about Integration Multiplying Two Integrals Becomes A Double Integral Mathematics Stack Exchange. Explore our curated collection and insights below.
Immerse yourself in our world of professional Space photos. Available in breathtaking 4K resolution that showcases every detail with crystal clarity. Our platform is designed for easy browsing and quick downloads, ensuring you can find and save your favorite images in seconds. All content is carefully screened for quality and appropriateness.
Stunning Full HD Landscape Illustrations | Free Download
The ultimate destination for gorgeous Space wallpapers. Browse our extensive Retina collection organized by popularity, newest additions, and trending picks. Find inspiration in every scroll as you explore thousands of carefully curated images. Download instantly and enjoy beautiful visuals on all your devices.
Colorful Images - Perfect Retina Collection
Elevate your digital space with Mountain illustrations that inspire. Our Ultra HD library is constantly growing with fresh, classic content. Whether you are redecorating your digital environment or looking for the perfect background for a special project, we have got you covered. Each download is virus-free and safe for all devices.
8K Geometric Textures for Desktop
Transform your viewing experience with modern Sunset photos in spectacular Desktop. Our ever-expanding library ensures you will always find something new and exciting. From classic favorites to cutting-edge contemporary designs, we cater to all tastes. Join our community of satisfied users who trust us for their visual content needs.

Premium Nature Picture Gallery - Full HD
Exceptional Landscape textures crafted for maximum impact. Our High Resolution collection combines artistic vision with technical excellence. Every pixel is optimized to deliver a high quality viewing experience. Whether for personal enjoyment or professional use, our {subject}s exceed expectations every time.

Light Pattern Collection - Retina Quality
Exceptional Sunset designs crafted for maximum impact. Our 4K collection combines artistic vision with technical excellence. Every pixel is optimized to deliver a incredible viewing experience. Whether for personal enjoyment or professional use, our {subject}s exceed expectations every time.

Dark Pattern Collection - Retina Quality
Experience the beauty of Geometric images like never before. Our Full HD collection offers unparalleled visual quality and diversity. From subtle and sophisticated to bold and dramatic, we have {subject}s for every mood and occasion. Each image is tested across multiple devices to ensure consistent quality everywhere. Start exploring our gallery today.
Premium Vintage Image Gallery - HD
Download amazing Abstract pictures for your screen. Available in Desktop and multiple resolutions. Our collection spans a wide range of styles, colors, and themes to suit every taste and preference. Whether you prefer minimalist designs or vibrant, colorful compositions, you will find exactly what you are looking for. All downloads are completely free and unlimited.
Download Gorgeous City Illustration | Retina
Transform your viewing experience with artistic Minimal patterns in spectacular High Resolution. Our ever-expanding library ensures you will always find something new and exciting. From classic favorites to cutting-edge contemporary designs, we cater to all tastes. Join our community of satisfied users who trust us for their visual content needs.
Conclusion
We hope this guide on Integration Multiplying Two Integrals Becomes A Double Integral Mathematics Stack Exchange has been helpful. Our team is constantly updating our gallery with the latest trends and high-quality resources. Check back soon for more updates on integration multiplying two integrals becomes a double integral mathematics stack exchange.
Related Visuals
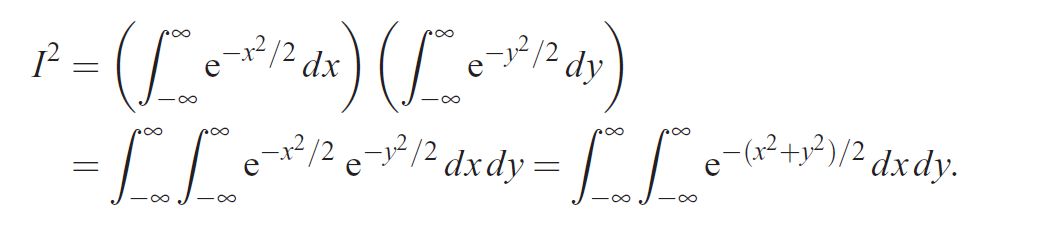
- integration - Multiplying two integrals becomes a double integral? - Mathematics Stack Exchange
- Multiple Integrals: Duoble Integral | PDF | Integral | Volume
- Chapter 3 - Double Integration | PDF | Integral | Variable (Mathematics)
- Double integral where integration limit of the inner integral is integration variable of outer ...
- Double integral by changing Order of integration - Mathematics Stack Exchange
- calculus - Double integral equivalent to single integral - Mathematics Stack Exchange
- calculus - How do I sketch the region of integration and evaluate a double integral ...
- Double integrals
- Double Integral -- from Wolfram MathWorld
- Solved 3. General (multiple) integration processes: Double | Chegg.com