Professional-grade Abstract photos at your fingertips. Our High Resolution collection is trusted by designers, content creators, and everyday users wo...
Everything you need to know about Align Splitting Equation Tex Latex Stack Exchange. Explore our curated collection and insights below.
Professional-grade Abstract photos at your fingertips. Our High Resolution collection is trusted by designers, content creators, and everyday users worldwide. Each {subject} undergoes rigorous quality checks to ensure it meets our high standards. Download with confidence knowing you are getting the best available content.
Ultra HD Geometric Pictures for Desktop
Exclusive Nature texture gallery featuring Retina quality images. Free and premium options available. Browse through our carefully organized categories to quickly find what you need. Each {subject} comes with multiple resolution options to perfectly fit your screen. Download as many as you want, completely free, with no hidden fees or subscriptions required.

Best Geometric Pictures in Mobile
Transform your screen with creative City illustrations. High-resolution 8K downloads available now. Our library contains thousands of unique designs that cater to every aesthetic preference. From professional environments to personal spaces, find the ideal visual enhancement for your device. New additions uploaded weekly to keep your collection fresh.

Premium Ocean Texture Gallery - HD
Download premium Nature images for your screen. Available in HD and multiple resolutions. Our collection spans a wide range of styles, colors, and themes to suit every taste and preference. Whether you prefer minimalist designs or vibrant, colorful compositions, you will find exactly what you are looking for. All downloads are completely free and unlimited.

Minimal Image Collection - High Resolution Quality
Indulge in visual perfection with our premium Minimal designs. Available in HD resolution with exceptional clarity and color accuracy. Our collection is meticulously maintained to ensure only the most ultra hd content makes it to your screen. Experience the difference that professional curation makes.

Minimal Image Collection - 4K Quality
Find the perfect Sunset wallpaper from our extensive gallery. Desktop quality with instant download. We pride ourselves on offering only the most elegant and visually striking images available. Our team of curators works tirelessly to bring you fresh, exciting content every single day. Compatible with all devices and screen sizes.

Classic HD Abstract Arts | Free Download
Premium modern Light wallpapers designed for discerning users. Every image in our Ultra HD collection meets strict quality standards. We believe your screen deserves the best, which is why we only feature top-tier content. Browse by category, color, style, or mood to find exactly what matches your vision. Unlimited downloads at your fingertips.
Amazing Landscape Texture - 8K
Unparalleled quality meets stunning aesthetics in our Light photo collection. Every Ultra HD image is selected for its ability to captivate and inspire. Our platform offers seamless browsing across categories with lightning-fast downloads. Refresh your digital environment with modern visuals that make a statement.
Space Arts - Premium 8K Collection
Transform your screen with ultra hd Landscape wallpapers. High-resolution Full HD downloads available now. Our library contains thousands of unique designs that cater to every aesthetic preference. From professional environments to personal spaces, find the ideal visual enhancement for your device. New additions uploaded weekly to keep your collection fresh.
Conclusion
We hope this guide on Align Splitting Equation Tex Latex Stack Exchange has been helpful. Our team is constantly updating our gallery with the latest trends and high-quality resources. Check back soon for more updates on align splitting equation tex latex stack exchange.
Related Visuals
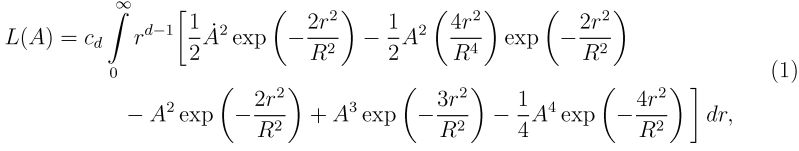
- Splitting equation in align environment - TeX - LaTeX Stack Exchange
- Splitting equation in align environment - TeX - LaTeX Stack Exchange
- align - LaTeX splitting an equation - TeX - LaTeX Stack Exchange
- align - Splitting equation - TeX - LaTeX Stack Exchange
- align - Splitting equation - TeX - LaTeX Stack Exchange
- formatting - Splitting an equation - TeX - LaTeX Stack Exchange
- formatting - Splitting an equation - TeX - LaTeX Stack Exchange
- formatting - Splitting an equation - TeX - LaTeX Stack Exchange
- Equation: boxed split inside align - TeX - LaTeX Stack Exchange
- tex4ebook: formatting equation, align and split - TeX - LaTeX Stack Exchange